一水池安有进水管、出水管各一根,单开进水管5分钟注满水池,单开出水管8分钟把一池水放光,现池内的水占容积的2/5,同时打开两管还要几分钟注满全池?( ) ...

作者: tihaiku 人气: - 评论: 0
问题 一水池安有进水管、出水管各一根,单开进水管5分钟注满水池,单开出水管8分钟把一池水放光,现池内的水占容积的2/5,同时打开两管还要几分钟注满全池?( ) A. 6 B. 7 C. 8 D. 9
选项
答案 C
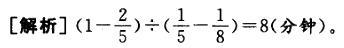
解析

相关内容:水池,水管,一根,单开进,5分钟,单开出,8分钟,池水,现池,水占,容积,同时,两管,几分钟,全池

猜你喜欢

发表评论
更多 网友评论0 条评论)
暂无评论

Copyright © 2012-2014 恰考网 Inc. 保留所有权利。 Powered by tikuer.com

页面耗时0.0584秒, 内存占用1.04 MB, Cache:redis,访问数据库17次