2009年普及九年义务教育的人口覆盖率已达到了99. 7%;初中阶段毛入学率达99%。由于学齡人口减少,小学、初中的学校数、学生数继续减少。全国共有小学2...

作者: tihaiku 人气: - 评论: 0
问题 2009年普及九年义务教育的人口覆盖率已达到了99. 7%;初中阶段毛入学率达99%。由于学齡人口减少,小学、初中的学校数、学生数继续减少。全国共有小学28. 02万所,比2008年减少2. 07万所;招生1637. 8万人,比2008年减少57. 92万人;在校生10071. 47万人,比2008年减少260. 04万人。初中学校5. 63万所(其中职业初中0. 02万所),比2008年减少0. 16万所;招生1788. 45万人,比2008年减少71.15万人;在校生5440. 94万人,比2008年减少144. 03万人。 学前教育有所发展,幼儿园数、在园幼儿数、幼儿园教师数均有所增加。2009年全国共有幼儿园13. 82万所,比2008年增加0. 45万所,在园幼儿(包括学前班)2657. 81万人,比2008年增加182. 85万人。幼儿园教师共112. 78万人,比2008年增加9. 58万人。 高中阶段毛入学率79. 2%,比2008年提高5. 2个百分点。全国高中阶段教育(包括普通高中、成人高中、中等职业学校)共有学校29761所,比2008年减少1045所;招生1698. 86万人,比2008年增加49. 74万人;在校学生4640. 91万人,比2008年增加64. 84万人。其中普通高中规模有所下降,与2008 年相比,招生数减少6. 67万人,下降0. 8%;在校生数减少34万人,下降1.1%;全国中等职业教育(包括普通中等专业学校、职业高中、技工学校和成人中等专业学校)招生和在校生数有所增加,招生868. 52万人,比2008年增加56. 41万人;在校生2195. 16万人,比2008年增加108. 07万人。 高等教育招生数和在校生规模持续增加。全国各类高等教育总规模达到2979万人,高等教育毛入学率达到24. 2%。普通髙等学校2305所,比2008年增加42所,其中本科院校1090所,高职(专科)院校1215所。普通高等教育本专科共招生639. 49万人,比2008年增加31. 83万人,增长5. 24%;在校生2144. 66万人,比2008年增加123. 64万人,增长6. 12%。全国共招收研究生51. 09万人,比2008年增加6. 45万人,增长14. 45%;其中博士生6. 19万人,硕士生44. 90万人。在学研究生140.49万人,比2008年增加12. 19万人,增长9. 50%;其中博士生24. 63万人,硕士生115. 86万人。 由材料可以得知( )。 ①2009年义务教育阶段学校在校学生数出现下降,学龄人口毛入学率略有下降 ②2009年普通髙中和中等职业教育在校生规模出现此消彼长的局面 ③2009年普通高等学校校平均招收本专科生人数比2008年有所上升 ④2008年普通高中在校生规模大于中等职业教育在校生规模 A.①② B.①④ C.②③ D.②④
选项
答案 C
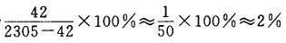
解析 材料只说明九年义务教育的学龄人口和学生数减少,但并不能说明学龄人口毛入学率略有下降,①无法推出;2009年,普通高中在校生人数减少,中等职业教育在校生人数增加,②正确;2009年,普通高等学校数目同比增加 ,小于在校生数量增加的比例6.12%,因此2009年普通高等学校平均招收本专科人数比2008年有所上升,③正确;2008年,普通高中在校人数为34/1.7%=2000(万人),中等职业教育在校生人数2195.16-108.07=2000+(万人),普通高中在校生规模比中等职业教育小,④错误。故正确答案为C。

相关内容:2009年,人口,覆盖率,初中,阶段,入学率,学齡,小学,学校,学生,全国,共有

猜你喜欢

发表评论
更多 网友评论0 条评论)
暂无评论

Copyright © 2012-2014 恰考网 Inc. 保留所有权利。 Powered by tikuer.com

页面耗时0.0552秒, 内存占用1.05 MB, Cache:redis,访问数据库19次