下列关于2009年该市旅游部门财务情况的描述,与资料相符的是( )。 A.营业成本占营业收入比重最高的是旅行社 B.景点的利润总额不到宾馆、酒店的...

作者: tihaiku 人气: - 评论: 0
问题 下列关于2009年该市旅游部门财务情况的描述,与资料相符的是( )。 A.营业成本占营业收入比重最高的是旅行社 B.景点的利润总额不到宾馆、酒店的2倍 C.宾馆、酒店的投资收益在各旅游部门中最高 D.景点的年末职工人数占所有旅游部门年末职工人数的一半以上
选项
答案 A
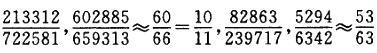
解析 本題是文字分析题。 A选项,分数大小比较,本题就是比较:的大小,明显发现第二个分数是最大的,所以比重最高的是旅行社。因此,答案选择A选项; B选项,倍数计算,景点的利润为23814,宾馆酒店的为11040,明显发现景点的利润超过了宾馆酒店的2倍,因此B选项错误; C选项,直接读数类,通过表格可以得到,投资收益最高的是其他旅游企业,因此C选项错误; D选项,比重计算类,景点的年末职工人数为15812,而宾馆酒店的年末职工数为53881,也就是说景点的年末职工人数不到宾馆酒店的一半,也就不可能到所有旅游部门年末职工人数的一半,因此,D选项错误。

相关内容:2009年,旅游,部门,财务,情况,资料,营业,成本,收入,比重,旅行社,景点,利润,总额,宾馆,酒店

猜你喜欢

发表评论
更多 网友评论0 条评论)
暂无评论

Copyright © 2012-2014 恰考网 Inc. 保留所有权利。 Powered by tikuer.com

页面耗时0.0502秒, 内存占用1.04 MB, Cache:redis,访问数据库14次