可由上表得出的一项是( )。 A. 2005至2011年,消费支出逐年增长 B. 2005至2010年,服务性消费支出均未达到消费支出的三分之...

作者: tihaiku 人气: - 评论: 0
问题 可由上表得出的一项是( )。 A. 2005至2011年,消费支出逐年增长 B. 2005至2010年,服务性消费支出均未达到消费支出的三分之一 C.在外饮食服务费在2011年首次超过教育费用 D. 2010年的交通工具服务支出比2005年翻了两番
选项
答案 B
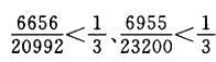
解析 A、C项均涉及未给出的2011年下半年的数据,故无法判渐。由前面的題目可知2005年至2008年服务性消费支出均不超过消费支出的三分之一,2009年、2010年对应的比重为,故B项正确。D项,2010年的交通工具服务支出相对2005年的比率为494/131

相关内容:上表,得出,2011年,消费,支出,增长,2010年,服务性

猜你喜欢

发表评论
更多 网友评论0 条评论)
暂无评论

Copyright © 2012-2014 恰考网 Inc. 保留所有权利。 Powered by tikuer.com

页面耗时0.0402秒, 内存占用1.05 MB, Cache:redis,访问数据库20次