下列选项正确的是( )。 A. 1950年到1965年支援农村生产支出和农林水利气象等部门的事业费持续增加 B. 1966年到1985年支...

作者: tihaiku 人气: - 评论: 0
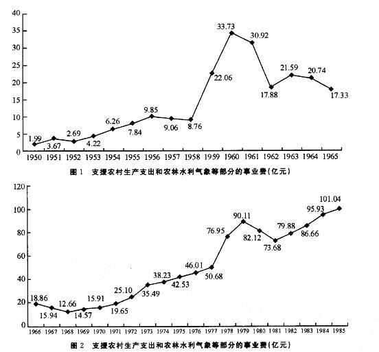
问题 下列选项正确的是( )。 A. 1950年到1965年支援农村生产支出和农林水利气象等部门的事业费持续增加 B. 1966年到1985年支援农村生产支出和农林水利气象等部门的事业费持续增加 C. 1986年到2003年支援农村生产支出和农林水利气象等部门的事业费持续增加 D. 1950年到2003年支援农村生产支出和农林水利气象等部门的事费持续增加
选项
答案 C
解析 A项,1952年的事业费为2.69亿元,低于1951年的3.67亿元,错误。B项,1967年的事业费为15. 94亿元,低于1966年的18.86亿元,错误。C项,由图可知1986-2003年的事业费逐年增加,正确。D项,由选项A、B可知,D项错误。综上所述,答案选C项。

相关内容:选项,1950年,1965年,农村,生产,支出,水利,气象,部门,事业费,1966年,1985年支

猜你喜欢

发表评论
更多 网友评论0 条评论)
暂无评论

Copyright © 2012-2014 恰考网 Inc. 保留所有权利。 Powered by tikuer.com

页面耗时0.0461秒, 内存占用1.03 MB, Cache:redis,访问数据库14次