彩电和冰箱在各类城市的销售总额相差()。 A.约15. 3万元 B. 约14. 3万元 C.约13. 3万元 D. 约12. 3万元

作者: tihaiku 人气: - 评论: 0
问题 彩电和冰箱在各类城市的销售总额相差()。 A.约15. 3万元 B. 约14. 3万元 C.约13. 3万元 D. 约12. 3万元
选项
答案 C
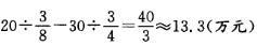
解析 由第二个图可知彩电和冰箱的销售量在大城市所占比例分别为37.5%(3/8)、75%(3/4); 由第一个图可知彩电和冰箱在大城市的销售额分别为20万元、30万元。故彩电和冰箱在各类城市的销售总额相差值为:,本题选C。

相关内容:彩电,冰箱,城市,3万元

猜你喜欢

发表评论
更多 网友评论0 条评论)
暂无评论

Copyright © 2012-2014 恰考网 Inc. 保留所有权利。 Powered by tikuer.com

页面耗时0.0482秒, 内存占用1.04 MB, Cache:redis,访问数据库19次