2010年,我国黄金产量为340. 88吨,同比增长8. 57%。其中矿产金280. 04吨,同比增长7. 27%;有色副产金60. 84吨,同比增长14...

作者: tihaiku 人气: - 评论: 0
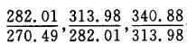
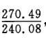
问题 2010年,我国黄金产量为340. 88吨,同比增长8. 57%。其中矿产金280. 04吨,同比增长7. 27%;有色副产金60. 84吨,同比增长14. 95%。 2010年,我国黄金企业实现工业总产值2292. 88亿元,同比增长66. 72%;实现利润248.74亿元,同比增长78. 19%。 以下哪一年黄金产量同比增速最快?( ) A. 2007 年 B. 2008 年 C. 2009 年 D. 2010 年
选项
答案 A
解析 本题考查增长率大小比较。倍数大小比较可以代替,所以本題就是比较 ,的大小,明显发现第一项的分母最小,而且分子分母之差是30,仅略小于第三项,所以第一个分数最大。因此答案选择A选项。

相关内容:2010年,我国,黄金,产量,同比,增长

猜你喜欢

发表评论
更多 网友评论0 条评论)
暂无评论

Copyright © 2012-2014 恰考网 Inc. 保留所有权利。 Powered by tikuer.com

页面耗时0.0584秒, 内存占用1.04 MB, Cache:redis,访问数据库15次