2011年某省接待过夜游客总量再次实现突破,达到3001. 34万人次,同比增长16. 0%。实现旅游收入324. 04亿元,同比增长25. 8%。12月...

作者: tihaiku 人气: - 评论: 0
问题 2011年某省接待过夜游客总量再次实现突破,达到3001. 34万人次,同比增长16. 0%。实现旅游收入324. 04亿元,同比增长25. 8%。12月份宾馆平均开房率为74. 02%,同比增长0. 06%;全年累计宾馆平均开房率为62. 37%,同比增长2.0%。 2011年12月该省人境外国旅游者占全年入境外国旅游者的比重,较上年约增加( )。 A. 1.3% B. 14. 2% C. 25. 6% D. 32. 6%
选项
答案 A
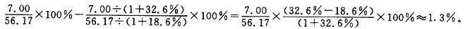
解析 本題属于比重计算题。2011年12月该省入境外国旅游者占全年入境外国旅游者的比重较上年增加: 。因此答案选择A选项。

相关内容:2011年,接待,过夜,游客,总量,突破,同比,增长,旅游,收入,04亿元

猜你喜欢

发表评论
更多 网友评论0 条评论)
暂无评论

Copyright © 2012-2014 恰考网 Inc. 保留所有权利。 Powered by tikuer.com

页面耗时0.0515秒, 内存占用1.04 MB, Cache:redis,访问数据库14次