下列选项能够从资料中推出的是()。A.2013年1—4月,东中西部地区投资额增长率均低于全国平均水平 B.2012年1—4月,东部地区房地产投资额低...

作者: tihaiku 人气: - 评论: 0
问题 下列选项能够从资料中推出的是()。
选项 A.2013年1—4月,东中西部地区投资额增长率均低于全国平均水平 B.2012年1—4月,东部地区房地产投资额低于销售额 C.2013年1—4月,东部地区商品房销售面积小于中部地区和西部地区之和 D.2012年1—4月,东部地区每平方米商品房销售额高于全国平均水平
答案 D
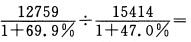
解析 A项错误,2013年1—4月,西部地区投资额增长率高于全国平均水平; B项错误,2013年1—4月,东部地区房地产投资额为11241亿元,同比增长20.2%,销售额为12759亿元,同比增长69.9%,由于销售额增长率要远远大于投资额增长率,而投资额和销售额相差不大,所以2012年1—4月,东部地区房地产投资额要高于销售额; C项错误,15414>7103+7244=14347,东部地区商品房销售面积大于中部地区和西部地区之和; D项正确,2012年1—4月,东部地区每平方米商品房销售额为,全国平均水平为(万元),由于,所以东部地区要高于全国平均水平。

相关内容:选项,A.2013,地区,投资额,增长率,全国,B.2012,房地产

猜你喜欢

发表评论
更多 网友评论0 条评论)
暂无评论

访问排行

Copyright © 2012-2014 恰考网 Inc. 保留所有权利。 Powered by tikuer.com

页面耗时0.0403秒, 内存占用1.04 MB, Cache:redis,访问数据库19次