烧杯中装了100克浓度为10%的盐水,向该烧杯中加入一定量未知浓度的盐水后,烧杯中的盐水浓度变为15%,继续向烧杯中加入等量的该未知浓度的盐水后,烧杯中的...

作者: tihaiku 人气: - 评论: 0
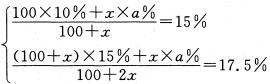
问题 烧杯中装了100克浓度为10%的盐水,向该烧杯中加入一定量未知浓度的盐水后,烧杯中的盐水浓度变为15%,继续向烧杯中加入等量的该未知浓度的盐水后,烧杯中的盐水浓度变为17.5%。那么加入烧杯中的盐水的浓度是多少?(假设烧杯中盐水不会溢出)()
选项 A.20% B.25% C.30% D.32%
答案 B
解析 设每次向烧杯中加入的该未知浓度盐水的量为x克,且该盐水的浓度为α%。由题意得:,由该方程组第一个方程得:x×α%=15%×(100+x)-10,将其代入第二个方程,解得x=50。将x=50代入方程组的第一个方程可得α=25。故答案为B选项。

相关内容:杯中,100克,浓度,盐水,该烧,一定量,未知,烧杯,等量

猜你喜欢

发表评论
更多 网友评论0 条评论)
暂无评论

访问排行

Copyright © 2012-2014 恰考网 Inc. 保留所有权利。 Powered by tikuer.com

页面耗时0.0323秒, 内存占用1.05 MB, Cache:redis,访问数据库20次