6名研究员要为某农作物育种公司培育一批种苗,在计划培育阶段,为了保证一定的存活率,每人均要多培育10株种苗。但由于临时任务,2名研究员不能参加培育工作,剩...

作者: tihaiku 人气: - 评论: 0
问题 6名研究员要为某农作物育种公司培育一批种苗,在计划培育阶段,为了保证一定的存活率,每人均要多培育10株种苗。但由于临时任务,2名研究员不能参加培育工作,剩下的每人要比2名研究员退出前多培育20株种苗。请问农作物公司总共需要多少株种苗?()
选项 A.90 B.120 C.150 D.180
答案 D
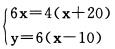
解析 设2名研究员退出前每人需要培育x株种苗,农作物育种公司需要y株种苗。则,解得x=40,y=180。故答案为D项。

相关内容:研究员,农作物,育种,公司,种苗,计划,阶段,存活率,任务,工作

猜你喜欢

发表评论
更多 网友评论0 条评论)
暂无评论

访问排行

Copyright © 2012-2014 恰考网 Inc. 保留所有权利。 Powered by tikuer.com

页面耗时0.0252秒, 内存占用1.04 MB, Cache:redis,访问数据库17次