2011年与2010年相比,建筑工程、安装工程、机电设备及各类工器具购置、其他(包括移民征地补偿等)四类投资完成额同比增长率最大的是()。A.建筑...

作者: tihaiku 人气: - 评论: 0
问题 2011年与2010年相比,建筑工程、安装工程、机电设备及各类工器具购置、其他(包括移民征地补偿等)四类投资完成额同比增长率最大的是()。
选项 A.建筑工程 B.安装工程 C.机电设备及各类工器具购置 D.其他(包括移民征地补偿等)
答案 A
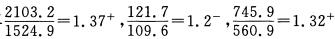
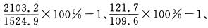
解析 2011年建筑工程、安装工程、机电设备及各类工器具购置、其他(包括移民征地补偿等)四类投资完成额同比增长率分别为:由于机电设备及各类工器具购置2011年完成投资的增加量为负值,故首先排除C项。因此只需比较三个分式的大小即可。利用直除法计算,A项当选。

相关内容:2011年,2010年,建筑工程,机电,设备及,器具,移民,征地,补偿,四类,投资,同比,增长率,建筑

猜你喜欢

发表评论
更多 网友评论0 条评论)
暂无评论

访问排行

Copyright © 2012-2014 恰考网 Inc. 保留所有权利。 Powered by tikuer.com

页面耗时0.0308秒, 内存占用1.05 MB, Cache:redis,访问数据库18次