某班级在学校举行的春季运动会中组织同学报名参加拔河和100米赛跑两项比赛。只有2人同时参加了这两项运动。已知该班级参加拔河比赛的运动员与该班级运动员总人数...

作者: tihaiku 人气: - 评论: 0
问题 某班级在学校举行的春季运动会中组织同学报名参加拔河和100米赛跑两项比赛。只有2人同时参加了这两项运动。已知该班级参加拔河比赛的运动员与该班级运动员总人数之比为7:10,且只参加拔河比赛的人数是只参加100米赛跑的人数的2倍。则只参加拔河比赛的运动员有()人。
选项 A. 10 B.12 C.14 D.16
答案 B
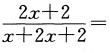
解析 设只参加100米赛跑的人数为x,则只参加拔河比赛的人数为2x。参加拔河比赛的人数为(2x+2),该班级运动员总数为(x+2x+2)。由题意可以列方程,,解得,x=6。因此只参加拔河比赛的人数是12人。

相关内容:班级,学校,运动会,组织,同学,拔河,100米,赛跑,只有,同时,运动,运动员

猜你喜欢

发表评论
更多 网友评论0 条评论)
暂无评论

访问排行

Copyright © 2012-2014 恰考网 Inc. 保留所有权利。 Powered by tikuer.com

页面耗时0.0285秒, 内存占用1.05 MB, Cache:redis,访问数据库19次