某城市共有常住人口32. 47万人,其中学龄前儿童共计3. 95万人,请问学龄前儿童占常住人口的比例为多少?( )A. 12% B. 14% C. 1...

作者: tihaiku 人气: - 评论: 0
问题 某城市共有常住人口32. 47万人,其中学龄前儿童共计3. 95万人,请问学龄前儿童占常住人口的比例为多少?( )
选项 A. 12% B. 14% C. 16% D. 18%
答案 A
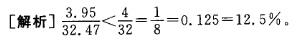
解析

相关内容:城市,共有,人口,47万人,95万人,比例

猜你喜欢

发表评论
更多 网友评论0 条评论)
暂无评论

访问排行

Copyright © 2012-2014 恰考网 Inc. 保留所有权利。 Powered by tikuer.com

页面耗时0.0471秒, 内存占用1.05 MB, Cache:redis,访问数据库20次