某国2005,2006,2007,2008年居民消费价格涨幅分别为1. 8%,1. 5%,4. 8%,5. 9%。那么该国2004-2008年,居民消费价...

作者: tihaiku 人气: - 评论: 0
问题 某国2005,2006,2007,2008年居民消费价格涨幅分别为1. 8%,1. 5%,4. 8%,5. 9%。那么该国2004-2008年,居民消费价格平均涨幅为多少?( )
选项 A. 3.48% B. 3.58% C. 3.83% D. 4. 47%
答案 A
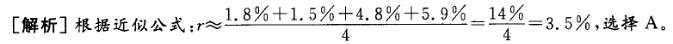
解析

相关内容:2008年,居民,消费,价格,涨幅,2004-2008年

猜你喜欢

发表评论
更多 网友评论0 条评论)
暂无评论

访问排行

Copyright © 2012-2014 恰考网 Inc. 保留所有权利。 Powered by tikuer.com

页面耗时0.0495秒, 内存占用1.05 MB, Cache:redis,访问数据库19次