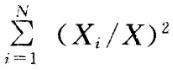
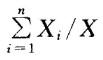
赫芬达尔—赫希曼指数(HHI)是表示市场竞争程度的指标。假设N为产业内企业总数,n为规模最大的前n位企业个数,X为市场总规模,Xi为第i位企业的规模,则H...

作者: rantiku 人气: - 评论: 0
问题 赫芬达尔—赫希曼指数(HHI)是表示市场竞争程度的指标。假设N为产业内企业总数,n为规模最大的前n位企业个数,X为市场总规模,Xi为第i位企业的规模,则HHI的计算公式为()。
选项 A: B: C: D:
答案 D
解析 本题考查HHI指数。HHI的计算公式=

猜你喜欢

发表评论
更多 网友评论0 条评论)
暂无评论

访问排行

Copyright © 2012-2014 恰考网 Inc. 保留所有权利。 Powered by tikuer.com

页面耗时0.0451秒, 内存占用1.03 MB, Cache:redis,访问数据库20次