在对某项目活动进行历时估计时,给出三个估计时间(即乐观时间、最可能时间及悲观时间)分别为5天、13天、15天,则该活动的期望工期为( )。A:5天B:...

作者: rantiku 人气: - 评论: 0
问题 在对某项目活动进行历时估计时,给出三个估计时间(即乐观时间、最可能时间及悲观时间)分别为5天、13天、15天,则该活动的期望工期为( )。
选项 A:5天 B:12天 C:13天 D:15天
答案 B
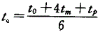
解析 本题考查期望工期的计算。期望工期的计算公式是:,带入公式计算的期望工程天数是12天。

猜你喜欢

发表评论
更多 网友评论0 条评论)
暂无评论

访问排行

Copyright © 2012-2014 恰考网 Inc. 保留所有权利。 Powered by tikuer.com

页面耗时0.0414秒, 内存占用1.03 MB, Cache:redis,访问数据库19次