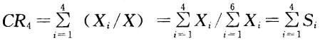
共用题干某地区一电信业务市场中共有6家运营商,2009年,按照用户数量计算的市场份额排名如下:设:X表示产业市场的总规模;Xi表示该业务市场第i位企业...

作者: rantiku 人气: - 评论: 0
问题 共用题干某地区一电信业务市场中共有6家运营商,2009年,按照用户数量计算的市场份额排名如下: 设:X表示产业市场的总规模;Xi表示该业务市场第i位企业的规模;Si表示该业务市场第i位企业的市场占有率。
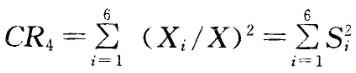
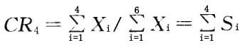
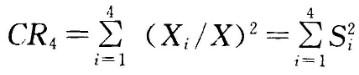
选项 根据以上数据,为计算该电信业务市场的行业集中度CR4,应选用的计算公式是()。 A: B: C: D:
答案 B
解析 因为C1+C2+C3+C4+C5+C6=1,因此。 CR4=30%+28%+16%+14%=88%。 HHI==332+282+162+232=2658。

猜你喜欢

发表评论
更多 网友评论0 条评论)
暂无评论

访问排行

Copyright © 2012-2014 恰考网 Inc. 保留所有权利。 Powered by tikuer.com

页面耗时0.0376秒, 内存占用1.03 MB, Cache:redis,访问数据库20次