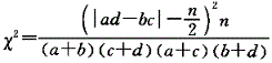
A.B.C.D.E.n≥40且T≥5时χ值的专用公式是

作者: rantiku 人气: - 评论: 0
问题 A. B. C. D. E. n≥40且T≥5时χ值的专用公式是
选项
答案 A
解析

猜你喜欢

发表评论
更多 网友评论0 条评论)
暂无评论

访问排行

Copyright © 2012-2014 恰考网 Inc. 保留所有权利。 Powered by tikuer.com

页面耗时0.0397秒, 内存占用1.02 MB, Cache:redis,访问数据库15次