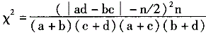
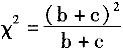
A.B.C.D.E.欲推断两种血清学方法有无差别,宜采用的检验统计量是(????)比较两种不同的防护服对石粉厂工人皮肤病的防护效果...

作者: rantiku 人气: - 评论: 0
问题 A. B. C. D. E. 欲推断两种血清学方法有无差别,宜采用的检验统计量是(????) 比较两种不同的防护服对石粉厂工人皮肤病的防护效果(表5),确定可以采用的检验统计量()
选项
答案 B
解析

猜你喜欢

发表评论
更多 网友评论0 条评论)
暂无评论

访问排行

Copyright © 2012-2014 恰考网 Inc. 保留所有权利。 Powered by tikuer.com

页面耗时0.0424秒, 内存占用1.03 MB, Cache:redis,访问数据库17次