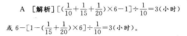
一项工程甲、乙、丙单独做各要10小时、15小时和20小时,三人合做,中间甲休息几小时,结果共用6小时完成,甲休息()小时。A.3 B.3.5 C.4 D.5

作者: rantiku 人气: - 评论: 0
问题 一项工程甲、乙、丙单独做各要10小时、15小时和20小时,三人合做,中间甲休息几小时,结果共用6小时完成,甲休息()小时。 A.3 B.3.5 C.4 D.5
选项
答案 A
解析

猜你喜欢

发表评论
更多 网友评论0 条评论)
暂无评论

访问排行

Copyright © 2012-2014 恰考网 Inc. 保留所有权利。 Powered by tikuer.com

页面耗时0.0357秒, 内存占用1.03 MB, Cache:redis,访问数据库17次