有14个纸盒,其中有装1只球的,也有装2只和3只球的。这些球共有25只,装1只球的 盒数等于装2只球和3只球的盒数和。装3只球的盒子有( )个。A. ...

作者: rantiku 人气: - 评论: 0
问题 有14个纸盒,其中有装1只球的,也有装2只和3只球的。这些球共有25只,装1只球的 盒数等于装2只球和3只球的盒数和。装3只球的盒子有( )个。 A. 7 B. 5 C. 4 D. 3
选项
答案 C
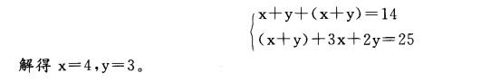
解析 设装有3只球的盒子有x个,装有2只球的盒子有y个,则装有1只球的 盒子有(x+y)个。由题意可得:

猜你喜欢

发表评论
更多 网友评论0 条评论)
暂无评论

访问排行

Copyright © 2012-2014 恰考网 Inc. 保留所有权利。 Powered by tikuer.com

页面耗时0.0414秒, 内存占用1.03 MB, Cache:redis,访问数据库19次