—根木杆,第一次截去了全长的1/2,第二次截去所剩木杆的1/3,第三次截去所剩木杆的1/4,第四次截去所剩木杆的1/5,这时量得所剩木杆长为6厘米。问:木...

作者: rantiku 人气: - 评论: 0
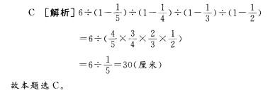
问题 —根木杆,第一次截去了全长的1/2,第二次截去所剩木杆的1/3,第三次截去所剩木杆的1/4,第四次截去所剩木杆的1/5,这时量得所剩木杆长为6厘米。问:木杆原来的长是多少厘米?( ) A. 15 B. 26 C. 30 D. 60
选项
答案 C
解析

猜你喜欢

发表评论
更多 网友评论0 条评论)
暂无评论

访问排行

Copyright © 2012-2014 恰考网 Inc. 保留所有权利。 Powered by tikuer.com

页面耗时0.0462秒, 内存占用1.03 MB, Cache:redis,访问数据库19次