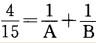
已知 ,A、B为自然数,且A>B,那么A有( )个不同的值。A. 2 B. 3 C. 4 D. 5

作者: rantiku 人气: - 评论: 0
问题 已知 ,A、B为自然数,且A>B,那么A有( )个不同的值。 A. 2 B. 3 C. 4 D. 5
选项
答案 B
解析 本题可采用不等式和极举法。原式两边同时乘以B,则有解得B

猜你喜欢

发表评论
更多 网友评论0 条评论)
暂无评论

访问排行

Copyright © 2012-2014 恰考网 Inc. 保留所有权利。 Powered by tikuer.com

页面耗时0.0393秒, 内存占用1.03 MB, Cache:redis,访问数据库19次