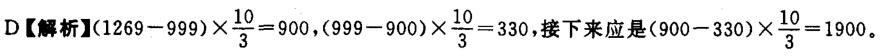
1269,999, 900,330,( )A. 190B. 299C. 270D. 1900

作者: rantiku 人气: - 评论: 0
问题 1269,999, 900,330,( )
选项 A. 190 B. 299 C. 270 D. 1900
答案 D
解析

猜你喜欢

发表评论
更多 网友评论0 条评论)
暂无评论

访问排行

Copyright © 2012-2014 恰考网 Inc. 保留所有权利。 Powered by tikuer.com

页面耗时0.0607秒, 内存占用1.03 MB, Cache:redis,访问数据库20次