有一批书,分给公司的所有人,每人1本,还差19本,每个部门派7本,多出1本,如果加2个人进公司,正好每个部门有9人,求总共有几个部门?()A. 11B...

作者: rantiku 人气: - 评论: 0
问题 有一批书,分给公司的所有人,每人1本,还差19本,每个部门派7本,多出1本,如果加2个人进公司,正好每个部门有9人,求总共有几个部门?()
选项 A. 11 B.9 C.7 D.5
答案 A
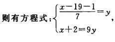
解析 本题可列方程式进行解答。设公司共有人员x人,部门y个,

猜你喜欢

发表评论
更多 网友评论0 条评论)
暂无评论

访问排行

Copyright © 2012-2014 恰考网 Inc. 保留所有权利。 Powered by tikuer.com

页面耗时0.0304秒, 内存占用1.03 MB, Cache:redis,访问数据库18次