投资一笔国债,5年期,平价发行,票面利率为12. 22%,单利计息,到期一次还本付息, 则该债券的到期收益率是()。A.9%B.11%C.10% ...

作者: rantiku 人气: - 评论: 0
问题 投资一笔国债,5年期,平价发行,票面利率为12. 22%,单利计息,到期一次还本付息, 则该债券的到期收益率是()。
选项 A.9% B.11% C.10% D.12%
答案 C
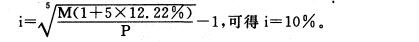
解析 设面值为M,因是平价发行,则债券购买价格为P。

猜你喜欢

发表评论
更多 网友评论0 条评论)
暂无评论

访问排行

Copyright © 2012-2014 恰考网 Inc. 保留所有权利。 Powered by tikuer.com

页面耗时0.0402秒, 内存占用1.03 MB, Cache:redis,访问数据库20次