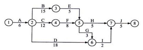
某双代号网络计划如下图(时间单位:天),其关键线路有( )条。A、2B、3C、5D、4

作者: rantiku 人气: - 评论: 0
问题 某双代号网络计划如下图(时间单位:天),其关键线路有( )条。
选项 A、2 B、3 C、5 D、4
答案 D
解析 本题考查的是关键工作、关键线路和时差的确定。在双代号网络计划和单代号网络计划中,关键线路是总的工作持续时间最长的线路。关键线路有:A→B→E→G→I→J;A→B→E→H→J;A→C→F→G→I→J;A→C→F→H→J。参见教材P150。

猜你喜欢

发表评论
更多 网友评论0 条评论)
暂无评论

访问排行

Copyright © 2012-2014 恰考网 Inc. 保留所有权利。 Powered by tikuer.com

页面耗时0.0241秒, 内存占用1.02 MB, Cache:redis,访问数据库14次