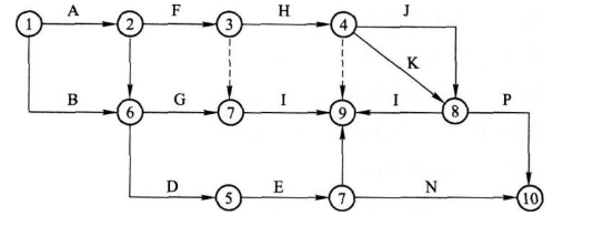
某分部工程双代号网络计划如下图所示,其中存在的绘图错误有(  )。A.循环回路B.多个终点节点C.多个起点节点D.节点编号重复E.两项...

作者: rantiku 人气: - 评论: 0
问题 某分部工程双代号网络计划如下图所示,其中存在的绘图错误有(  )。
选项 A.循环回路 B.多个终点节点 C.多个起点节点 D.节点编号重复 E.两项工作有相同的代号
答案 BDE
解析

猜你喜欢

发表评论
更多 网友评论0 条评论)
暂无评论

访问排行

Copyright © 2012-2014 恰考网 Inc. 保留所有权利。 Powered by tikuer.com

页面耗时0.0719秒, 内存占用1.03 MB, Cache:redis,访问数据库19次