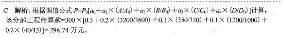
某工程施工合同规定用调值公式法对建安工程价款进行动态结算,某分部工趕预算进度款 为300万元,相关调整要素和数据见下表,则调值后该分部工程结算款为( )万...

作者: rantiku 人气: - 评论: 0
问题 某工程施工合同规定用调值公式法对建安工程价款进行动态结算,某分部工趕预算进度款 为300万元,相关调整要素和数据见下表,则调值后该分部工程结算款为( )万元。
选项 A. 321.63 B. 303.54 C. 298.74 D. 280.65
答案 C
解析

猜你喜欢

发表评论
更多 网友评论0 条评论)
暂无评论

访问排行

Copyright © 2012-2014 恰考网 Inc. 保留所有权利。 Powered by tikuer.com

页面耗时0.0301秒, 内存占用1.03 MB, Cache:redis,访问数据库18次