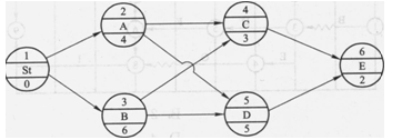
某工程单代号网络计划如下图所示,其关键线路为( )。 A、1—2—4—6 B、1—3—4—6 C、1—3—5—6 D、1—2—5—6

作者: rantiku 人气: - 评论: 0
问题 某工程单代号网络计划如下图所示,其关键线路为( )。
选项 A、1—2—4—6 B、1—3—4—6 C、1—3—5—6 D、1—2—5—6
答案 C
解析 2018版教材P150 二、关键路线在双代号网络计划和单代号网络计划中,关键路线是总的工作持续时间最长的线路。该线路在网络图上应用粗线、双线或彩色线标注。在搭接网络计划中,关键线路是自始至终全部由关键工作组成的线路或线路上总的工作持续时间最长的线路;从起点节点开始到终点节点均为关键工作,且所有工作的时间间隔均为零的线路应为关键线路。故1-3-5-6工作持续时间最长,选C。

猜你喜欢

发表评论
更多 网友评论0 条评论)
暂无评论

访问排行

Copyright © 2012-2014 恰考网 Inc. 保留所有权利。 Powered by tikuer.com

页面耗时0.0364秒, 内存占用1.03 MB, Cache:redis,访问数据库18次