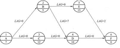
已知下列单代号网络计划中各工作之间的时间间隔,则工作B的总时差为( )。 A、0 B、2 C、7 D、9

作者: rantiku 人气: - 评论: 0
问题 已知下列单代号网络计划中各工作之间的时间间隔,则工作B的总时差为( )。
选项 A、0 B、2 C、7 D、9
答案 B
解析 2018版教材P136 该工作总时差等于该工作的各个紧后工作的总时差加该工作与其紧后工作之间的时间间隔之和的最小值。工作B后面有二条线路,即BEF和BDF,二条线路的LAG之和分别为:BEF的LAG之和为:0+2=2BDF的LAG之和为:7+0=7,取最小值为2

猜你喜欢

发表评论
更多 网友评论0 条评论)
暂无评论

访问排行

Copyright © 2012-2014 恰考网 Inc. 保留所有权利。 Powered by tikuer.com

页面耗时0.0301秒, 内存占用1.03 MB, Cache:redis,访问数据库19次