某绞吸式挖泥船的流量计显示施工中的产量流量为流速5.0m/s,泥浆的浓度为2 1%,原状土的密度为1.85t/m3,该挖泥船绞刀的横移速度为11m/min...

作者: rantiku 人气: - 评论: 0
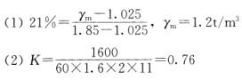
问题 某绞吸式挖泥船的流量计显示施工中的产量流量为流速5.0m/s,泥浆的浓度为2 1%,原状土的密度为1.85t/m3,该挖泥船绞刀的横移速度为11m/min,前移距为1. 6m,切泥厚度为2m,此时该船的生产率为1600m3/h。 问题: (1)该船泥泵管路吸输泥浆的密度为多少? (2)该绞吸挖泥船的挖掘系数是多少?
选项
答案
解析

猜你喜欢

发表评论
更多 网友评论0 条评论)
暂无评论

访问排行

Copyright © 2012-2014 恰考网 Inc. 保留所有权利。 Powered by tikuer.com

页面耗时0.0364秒, 内存占用1.03 MB, Cache:redis,访问数据库19次