某疏浚工程工程量5 0万m3,由一艘绞吸挖泥船承担施工,该船排泥管直径0. 7m,管内泥浆平均流速5 m/s,泥浆平均密度1.2 t/m3,原状土密度1....

作者: rantiku 人气: - 评论: 0
问题 某疏浚工程工程量5 0万m3,由一艘绞吸挖泥船承担施工,该船排泥管直径0. 7m,管内泥浆平均流速5 m/s,泥浆平均密度1.2 t/m3,原状土密度1.85t/m3,海水密度1.0 2 5 t/m3,该船主要施工挖泥参数:绞刀横移速度10m/min,前移距1.5m,切泥厚度2m,在本工程中该船的生产性和非生产性停息时间共计200h,请回答以下 问题: (1)管内泥浆平均浓度; (2)输送生产率; (3)绞刀挖掘系数; (4)时间利用率。
选项
答案
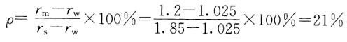
解析 (1)管内泥浆平均浓度计算: (2)输送生产率计算: 流量计算:Q=πR2V=3. 14*0.352*5*3600=6924m3/h;W=Q*ρ=6924*21% =1454m3/h。 (3)挖掘系数计算 根据挖掘生产率公式: W= 60KDTV 挖掘系数: (4)时间利用率计算 挖泥时间计算:

猜你喜欢

发表评论
更多 网友评论0 条评论)
暂无评论

访问排行

Copyright © 2012-2014 恰考网 Inc. 保留所有权利。 Powered by tikuer.com

页面耗时0.0302秒, 内存占用1.03 MB, Cache:redis,访问数据库16次