某耙吸挖泥船施工的工程,其挖槽中心至抛泥区距离15km,挖槽长度3km,该船以5000m3舱容施工,施工土质密度1. 85t/m3,重载航速9kn,轻载航...

作者: rantiku 人气: - 评论: 0
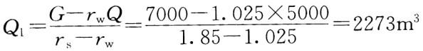
问题 某耙吸挖泥船施工的工程,其挖槽中心至抛泥区距离15km,挖槽长度3km,该船以5000m3舱容施工,施工土质密度1. 85t/m3,重载航速9kn,轻载航速11kn,挖泥航速3kn,调头、抛泥时间8min,一次挖槽长度挖泥满舱载重量7000t。(如下图所示) 问题: (1)计算该船的泥舱装载土方量。 (2)如图由A挖起至B止和由B挖起至A止哪一种安排更合理些?
选项
答案
解析 (1)计算该船的泥舱装载土方量,根据泥舱装载土方量计算公式求得装载量为: (2)计算该船生产率。 航速换算: 重载航速为:9*1. 852=16.7 km/h; 轻载航速为:1 1*1. 852=20. 4km/h; 挖泥航速为:3*1. 852 =5. 6km/h。 根据耙吸船生产率计算公式求得生产率为: 由A挖至B: 由B挖至A: =979m3/h所以 A 至B合理些。

猜你喜欢

发表评论
更多 网友评论0 条评论)
暂无评论

访问排行

Copyright © 2012-2014 恰考网 Inc. 保留所有权利。 Powered by tikuer.com

页面耗时0.0408秒, 内存占用1.03 MB, Cache:redis,访问数据库20次