某企业从金融机构借款100万元,月利率1%,按月复利计息,每季度付息一次,则该企业一年需向金融机构支付利息( )万元。A. 12.00B. 12.1...

作者: rantiku 人气: - 评论: 0
问题 某企业从金融机构借款100万元,月利率1%,按月复利计息,每季度付息一次,则该企业一年需向金融机构支付利息( )万元。
选项 A. 12.00 B. 12.12 C. 12.55 D. 12.68
答案 B
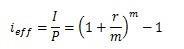
解析 2011年建设工程经济真题第1题 本题主要考查了复利计息的计算。 有效利率与名义利率的关系: 式中,代表有效利率(即实际利率),r代表名义利率,m代表一年内的计息周期数 本题中按月复利计息,每季付息一次,则实际利率为1%,每季度计息3次。 季度利率为: 企业一年需支付的利息为:100*3.03%*4 =12.12万元 注意:本题要求每季度付息一次,即本季度的利息不计入下一季度,四个季度是相互独立的,相当于单利计息。若题目中要求按季度复利计息,则需要计算年有效利率求取利息。 综上所述,本题正确答案为B项。

猜你喜欢

发表评论
更多 网友评论0 条评论)
暂无评论

访问排行

Copyright © 2012-2014 恰考网 Inc. 保留所有权利。 Powered by tikuer.com

页面耗时0.0363秒, 内存占用1.03 MB, Cache:redis,访问数据库18次