某租出设备价格50万元,租期为5年,折现率8%,附加率4%,采用附加率法计算租金时,刚每年租金不能低于( )万元。A. 11.2B. 12.0C...

作者: rantiku 人气: - 评论: 0
问题 某租出设备价格50万元,租期为5年,折现率8%,附加率4%,采用附加率法计算租金时,刚每年租金不能低于( )万元。
选项 A. 11.2 B. 12.0 C. 14.0 D. 16.0
答案 D
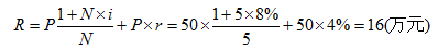
解析 2006年建设工程经济真题第11题 此题考查的是采用附加率法计算每期租金。 每期租金计算为。式中P为租赁资产的价格,N为租赁期数,i为与租赁期数对应的利率,r为附加率。 故此题正确选项为D项。

猜你喜欢

发表评论
更多 网友评论0 条评论)
暂无评论

访问排行

Copyright © 2012-2014 恰考网 Inc. 保留所有权利。 Powered by tikuer.com

页面耗时0.0455秒, 内存占用1.03 MB, Cache:redis,访问数据库18次