某技术方案寿命期为7年,各年现金流量如下表所示,该技术方案静态投资回收期为( )年。A. 4.4B. 4.8C. 5.0D. 5.4

作者: rantiku 人气: - 评论: 0
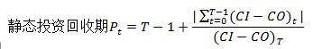
问题 某技术方案寿命期为7年,各年现金流量如下表所示,该技术方案静态投资回收期为( )年。
选项 A. 4.4 B. 4.8 C. 5.0 D. 5.4
答案 B
解析 本题主要考查了静态投资回收期的计算。 静态投资回收期可根据净现金流量计算,其具体计算又可根据技术方案实施后各年的净收益是否相同分为两种情况。本题技术方案实施后各年的净收益不相同,则静态投资回收期计算公式为: 根据给定的各年现金流入与现金流出,分别计算各年的净现金流量和累计净现金流量: 本题中静态回收投资期: 因此,本题正确答案为B项。

猜你喜欢

发表评论
更多 网友评论0 条评论)
暂无评论
错误啦!

错误信息

  • 消息: [程序异常] : MISCONF Redis is configured to save RDB snapshots, but it's currently unable to persist to disk. Commands that may modify the data set are disabled, because this instance is configured to report errors during writes if RDB snapshotting fails (stop-writes-on-bgsave-error option). Please check the Redis logs for details about the RDB error.
  • 文件: /twcms/kongphp/cache/cache_redis.class.php
  • 位置: 第 85 行
    <?php echo 'KongPHP, Road to Jane.'; ?>