某项目净现金流量如下表所示,则项目的静态投资回收期为( )年。A. 5.33B. 5.67C. 6.33D. 6.67

作者: rantiku 人气: - 评论: 0
问题 某项目净现金流量如下表所示,则项目的静态投资回收期为( )年。
选项 A. 5.33 B. 5.67 C. 6.33 D. 6.67
答案 B
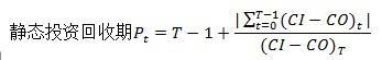
解析 本题考查的是静态投资回收期的计算。 静态投资回收期可根据净现金流量计算,其具体计算又可根据技术方案实施后各年的净收益是否相同分为两种情况。本题技术方案实施后各年的净收益不相同,静态投资回收期可根据累计净现金流量求得,计算公式为: 式中,T表示技术方案各年累积净现金流量首次为正或零的年数,表示技术方案第(T-1)年累积净现金流量的绝对值,表示技术方案第T年的净现金流量 本题中静态回收投资期: 综上所述,本题的正确答案为B。

猜你喜欢

发表评论
更多 网友评论0 条评论)
暂无评论

访问排行

Copyright © 2012-2014 恰考网 Inc. 保留所有权利。 Powered by tikuer.com

页面耗时0.0476秒, 内存占用1.03 MB, Cache:redis,访问数据库20次