某建设项目财务现金流量表数据如下,则该项目的静态投资回收期为( )年。单位:万元。A. 4B. 5C. 5.21D. 5.56

作者: rantiku 人气: - 评论: 0
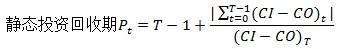
问题 某建设项目财务现金流量表数据如下,则该项目的静态投资回收期为( )年。单位:万元。
选项 A. 4 B. 5 C. 5.21 D. 5.56
答案 B
解析 本题主要考查了投资回收期的计算。 静态投资回收期可根据净现金流量计算,其具体计算又可根据技术方案实施后各年的净收益是否相同分为两种情况。本题技术方案实施后各年的净收益不相同。 所以,当技术方案实施后各年的净收益不相同时,静态投资回收期可根据累计净现金流量求得。 本题中静态回收投资期: 综上所述,本题正确答案为B项。

猜你喜欢

发表评论
更多 网友评论0 条评论)
暂无评论

访问排行

Copyright © 2012-2014 恰考网 Inc. 保留所有权利。 Powered by tikuer.com

页面耗时0.0371秒, 内存占用1.03 MB, Cache:redis,访问数据库20次