某常规投资方案,FNPV(=14%)=160,FNPV(=16%)=﹣90,则FIRR的取值范围为( )。A. ﹤14%B. 14%~15%C....

作者: rantiku 人气: - 评论: 0
问题 某常规投资方案,FNPV(=14%)=160,FNPV(=16%)=﹣90,则FIRR的取值范围为( )。
选项 A. ﹤14% B. 14%~15% C. 15%~16% D. ﹥16%
答案 C
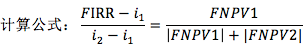
解析 2007年建设工程经济真题第5题 本题主要考常规技术方案的财务净现值(FNPV)与财务内部收益率(FIRR)之间的关系。 常规技术方案的财务净现值(FNPV)与基准收益率( )之间呈单调递减关系,即随着技术方案基准收益率的增大,财务净现值会由大变小,由正变负。当FNPV=0时对应的 即为财务内部收益率(FIRR)。因此由题意可知, 一定在14%和16%之间时,可以使FNPV=0,而且 更偏向16%,故 应该在15%~16%之间。 本题也可利用插值法进行计算财务内部收益率。 经计算可得FIRR=15.28%。 因此,本题正确答案为C项。

猜你喜欢

发表评论
更多 网友评论0 条评论)
暂无评论

访问排行

Copyright © 2012-2014 恰考网 Inc. 保留所有权利。 Powered by tikuer.com

页面耗时0.0459秒, 内存占用1.03 MB, Cache:redis,访问数据库20次