租赁公司拟出租给某企业一台设备,设备的价格是68万元,租期为5年,折现率为12%。如果按每年年初方式支付租金,则租金为( )万元。A. 18.86B...

作者: rantiku 人气: - 评论: 0
问题 租赁公司拟出租给某企业一台设备,设备的价格是68万元,租期为5年,折现率为12%。如果按每年年初方式支付租金,则租金为( )万元。
选项 A. 18.86 B. 16.84 C. 23.12 D. 17.35
答案 B
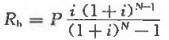
解析 本题主要考查了租金的计算。 租金的计算方法主要有附加率法和年金法,其中年金法又分为期初支付方式和期末支付方式。 本题中采用年初支付方式,租金计算公式: 式中,表示每期期初支付的租金额,P表示租赁设备的价格,N表示租赁期,i表示折现率 本题每年年初支付的租金 综上所述,本题正确答案为B项。

猜你喜欢

发表评论
更多 网友评论0 条评论)
暂无评论

访问排行

Copyright © 2012-2014 恰考网 Inc. 保留所有权利。 Powered by tikuer.com

页面耗时0.0401秒, 内存占用1.03 MB, Cache:redis,访问数据库20次