某设备原始费用2000万元,残值固定为300万元,第一年运行费为800万元,低劣化值200万元/年,不计利息,预计这台设备的经济寿命为()年。A:4.12...

作者: rantiku 人气: - 评论: 0
问题 某设备原始费用2000万元,残值固定为300万元,第一年运行费为800万元,低劣化值200万元/年,不计利息,预计这台设备的经济寿命为()年。
选项 A:4.12 B:2.92 C:3.46 D:2.83
答案 A
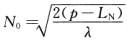
解析 本题考核低劣化数值法计算设备的经济寿命。由于设备使用时间越长,设备的有形磨损和无形磨损越加剧,从而导致设备的维护修理费用增加越多,这种逐年递增的费用△Ct称为设备的低劣化。用低劣化数值表示设备损耗的方法称为低劣化数值法。如果每年设备的劣化增量是均等的,即△Ct=λ,并且设备的年固定残值是确定的,即LN为常数时,可用下列公式求得设备的经济寿命:。由题意得,P=2000,LN=300,λ=200,求得N0=4.12。本题答案为A。

猜你喜欢

发表评论
更多 网友评论0 条评论)
暂无评论

访问排行

Copyright © 2012-2014 恰考网 Inc. 保留所有权利。 Powered by tikuer.com

页面耗时0.0348秒, 内存占用1.03 MB, Cache:redis,访问数据库20次