租赁公司拟出租给某企业一台设备,设备的价格为98万元,租期为5年,每年年初支付租金,折现率为12%,每年租金为()万元。A:31.5B:27.2C...

作者: rantiku 人气: - 评论: 0
问题 租赁公司拟出租给某企业一台设备,设备的价格为98万元,租期为5年,每年年初支付租金,折现率为12%,每年租金为()万元。
选项 A:31.5 B:27.2 C:35.3 D:24.3
答案 D
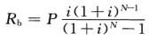
解析 本题考核的是如何用年金法计算租赁设备的租金。年金法是将一项租赁资产价值按动态等额分摊到未来各租赁期间内的租金计算方法。年金法计算有期末支付和期初支付租金之分,本题要求计算期初支付的租金。期初支付租金Rb的表达式为:式中Rb——每期期初支付的租金额;P——赁资产的价格;N——租赁期数,可按月、季、半年、年计;i——与租赁期数相对应的利率或折现率。本题中P=98万,N=5,i=12%,代入公式计算可得Rb=24.3万元,答案为D。

猜你喜欢

发表评论
更多 网友评论0 条评论)
暂无评论

访问排行

Copyright © 2012-2014 恰考网 Inc. 保留所有权利。 Powered by tikuer.com

页面耗时0.0304秒, 内存占用1.03 MB, Cache:redis,访问数据库20次