下列关于现值P、终值F、年金.A、利率i、计息期数n之间关系的描述中,正确的是()。A:在P一定,n相同时,i越大,F越大B:在F一定,n相同时.i越...

作者: rantiku 人气: - 评论: 0
问题 下列关于现值P、终值F、年金.A、利率i、计息期数n之间关系的描述中,正确的是()。
选项 A:在P一定,n相同时,i越大,F越大 B:在F一定,n相同时.i越大,P越大 C:在F一定,i相同时,n越大,A越大 D:在i一定,n相同时,P越大,A越小
答案 A
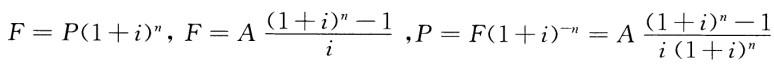
解析 本题考查的是六个复利系数之间的关系,根据现值公式,终值公式,等值公式 ,可以看出当公式中其中两个系数一定时,其余两个系数之间可能成正比例也可能成反比例。当P和n一定时,i和F成正比;当F和n一定时,i和P成反比;当F和i一定时,A和n成反比;当i和n一定时,P和A成正比;因此符合题意的是选项A。

猜你喜欢

发表评论
更多 网友评论0 条评论)
暂无评论

访问排行

Copyright © 2012-2014 恰考网 Inc. 保留所有权利。 Powered by tikuer.com

页面耗时0.0395秒, 内存占用1.03 MB, Cache:redis,访问数据库19次