某项目财务现金流量表的数据见表,该项目的静态投资回收期为()年。A:5B:4C:4.75D:6

作者: rantiku 人气: - 评论: 0
问题 某项目财务现金流量表的数据见表,该项目的静态投资回收期为()年。
选项 A:5 B:4 C:4.75 D:6
答案 C
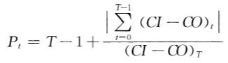
解析 本题考查静态投资回收期的计算。当技术方案实施后各年的净收益不相网时,静态投资回收期计算公式为:

猜你喜欢

发表评论
更多 网友评论0 条评论)
暂无评论

访问排行

Copyright © 2012-2014 恰考网 Inc. 保留所有权利。 Powered by tikuer.com

页面耗时0.0391秒, 内存占用1.03 MB, Cache:redis,访问数据库20次