某项口计算期内的现金流量表的数据如下图所示,该项目静态投资回收期为()。A:3.07B:3.09C:3.90D:3.16

作者: rantiku 人气: - 评论: 0
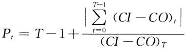
问题 某项口计算期内的现金流量表的数据如下图所示,该项目静态投资回收期为()。
选项 A:3.07 B:3.09 C:3.90 D:3.16
答案 B
解析 本题考查的是静态投资回收期的计算。技术方案静态投资回收期是在不考虑资金时间价值的条件下,以技术方案的净收益回收其总投资(包括建设投资和流动资金)所需要的时间,一般以年为单位。当技术方案实施后各年的净收益不相同时,静态投资回收期可根据累计净现金流量求得,也就是在技术方案投资现金流量表中累计净现金流量由负值变为零的时点。其计算公式为:,本题的净现金流量表为 因此Pt=4-1+100/1100=3.09。故本题正确选项为B。

猜你喜欢

发表评论
更多 网友评论0 条评论)
暂无评论

访问排行

Copyright © 2012-2014 恰考网 Inc. 保留所有权利。 Powered by tikuer.com

页面耗时0.0341秒, 内存占用1.03 MB, Cache:redis,访问数据库14次