某技术方案投资现金流量的数据如表所示。则该技术方案的静态投资回收期为()年。A:5.20B:5.25C:5.4D:6.00

作者: rantiku 人气: - 评论: 0
问题 某技术方案投资现金流量的数据如表所示。则该技术方案的静态投资回收期为()年。
选项 A:5.20 B:5.25 C:5.4 D:6.00
答案 B
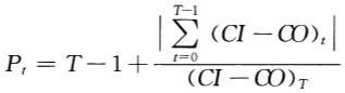
解析 当技术方案实施后各年的净收益不相同时,静态投资回收期可根据累计净现金流量求得,也就是在技术方案投资现金流量表中累计净现金流量由负值变为零的时点。其计算公式为: 式中丁——技术方案各年累计净现金流量首次为正或零的年数; ——技术方案第(T-1)年累计净现金流量的绝对值;(CI-CO)t技术方案第T年的净现金流量。由题干,计算过程如下表所示: 由上述公式得:Pt=(6-1)+/-100//400=5.25(年)。故正确答案为B。

猜你喜欢

发表评论
更多 网友评论0 条评论)
暂无评论
错误啦!

错误信息

  • 消息: [程序异常] : MISCONF Redis is configured to save RDB snapshots, but it's currently unable to persist to disk. Commands that may modify the data set are disabled, because this instance is configured to report errors during writes if RDB snapshotting fails (stop-writes-on-bgsave-error option). Please check the Redis logs for details about the RDB error.
  • 文件: /twcms/kongphp/cache/cache_redis.class.php
  • 位置: 第 85 行
    <?php echo 'KongPHP, Road to Jane.'; ?>