某项目的财务净现值前5年总计为210万元,第6年净现金流量为30万元,i0=10%,则前6年的财务净现值为()万元。A:227B:237C:240...

作者: rantiku 人气: - 评论: 0
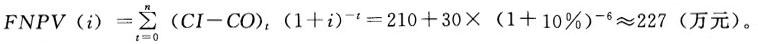
问题 某项目的财务净现值前5年总计为210万元,第6年净现金流量为30万元,i0=10%,则前6年的财务净现值为()万元。
选项 A:227 B:237 C:240 D:261
答案 A
解析 财务净现值的计算公式为:

猜你喜欢

发表评论
更多 网友评论0 条评论)
暂无评论

访问排行

Copyright © 2012-2014 恰考网 Inc. 保留所有权利。 Powered by tikuer.com

页面耗时0.0415秒, 内存占用1.03 MB, Cache:redis,访问数据库19次