一台设备,目前实际价值 P=8000 元,预计残值 800 元,第一年运行成本 600 元,每年设备的劣化值增量相等,年劣化值 300 元,该设备的经...

作者: rantiku 人气: - 评论: 0
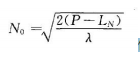
问题 一台设备,目前实际价值 P=8000 元,预计残值 800 元,第一年运行成本 600 元,每年设备的劣化值增量相等, 年劣化值 300 元,该设备的经济寿命( )。
选项 A.5 年 B.6 年 C.7 年 D.8 年
答案 C
解析 代入数值,求得 N0=6.93,最接近的答案为 C,7 年。

猜你喜欢

发表评论
更多 网友评论0 条评论)
暂无评论

访问排行

Copyright © 2012-2014 恰考网 Inc. 保留所有权利。 Powered by tikuer.com

页面耗时0.0332秒, 内存占用1.03 MB, Cache:redis,访问数据库19次